In this post, we show how to solve integration-by-parts problems in simple steps. After going through these examples, you will get a clear idea of solving these problems.
However just looking at it, you may not be clear especially in case of math problems, you need to practice it manually to know how to solve them clearly. But it would be amazing if you have learnt how to solve them clearly just by looking at it!
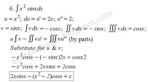
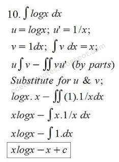
Tip๐ก: Here, first we differentiate and integrate all the terms and then we substitute these terms in the formula accordingly, then the steps will be simple.















0 Comments